【上一篇】: RS20251129批次茶艺师汽车维修工职业技能等级认定成绩公示
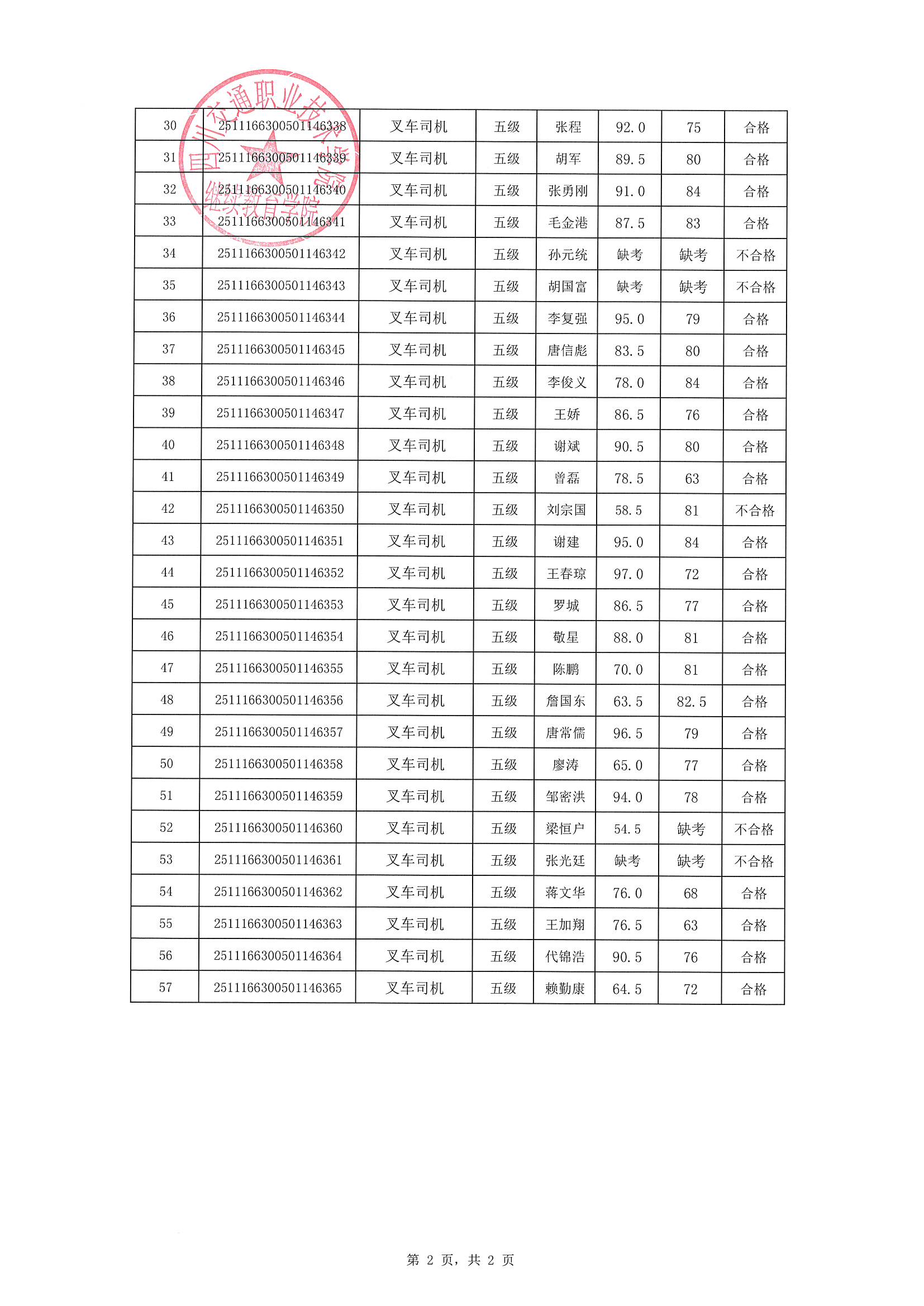
【下一篇】: RS20251114批次叉车司机成绩公示
联系地址:成都市温江区柳台大道东段208号
联 系 人:刘老师
联系电话:028-82681673